尊敬的Hotbit用戶:
感恩回饋,Hotbit將於2021年6月4日16:00開啟PAWS交易送好禮活動,活動期間Hotbit平臺的PAWS交易用戶可參與瓜分獎勵。
交易大賽
- 活動時間:2021年6月4日16:00~2021年6月11日16:00 (UTC+8)
- 活動期間,按照 PAWS交易量(買入+賣出)進行排名,參與交易用戶均可瓜分319,000,000,000枚PAWS;
- 獎勵細則:交易量排名1-10名,根據排名瓜分156,000,000,000枚PAWS,交易量排名11名及以後所有符合條件參與者,根據占比瓜分163,000,000,000枚PAWS;
- 注:PAWS交易量(買入+賣出)大於等於800,000,000枚 PAWS方可參與活動,活動期間,PAWS關閉提現功能。

注意事項:
1. 活動排名榜單將於活動結束後10個工作日內公佈。
2. 活動獎勵將於活動結束後10個工作日內發放。
3. 本活動最終解釋權歸Hotbit所有,如有作弊、刷量或對敲等行為,Hotbit有權取消其獲獎資格。
4. 風險提示:數字資產是創新的投資產品,價格波動較大,請您理性判斷自己的投資能力,審慎做出投資決策。
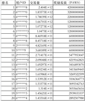
PAWS獎勵已發放,獲獎名單如下:

祝您交易愉快!
Hotbit團隊
評論
0 條評論
文章評論已關閉。