Sevgili Hotbit kullanıcıları,
Hotbit, 10 Ağustos 2022 tarihinde alım satım, para yatırma, para çekme ve fonlama fonksiyonlarını askıya almıştır, detaylı bilgi için lütfen tıklayınız. Ve kullanıcının varlıklarının Hotbit'te tedavisi aşağıdaki gibidir:
1. Kullanıcının doldurulmamış açık siparişi, piyasa dalgalanmalarından kaynaklanan kayıpları önlemek için Hotbit'in sistemi tekrar açılmadan önce iptal edilecektir;
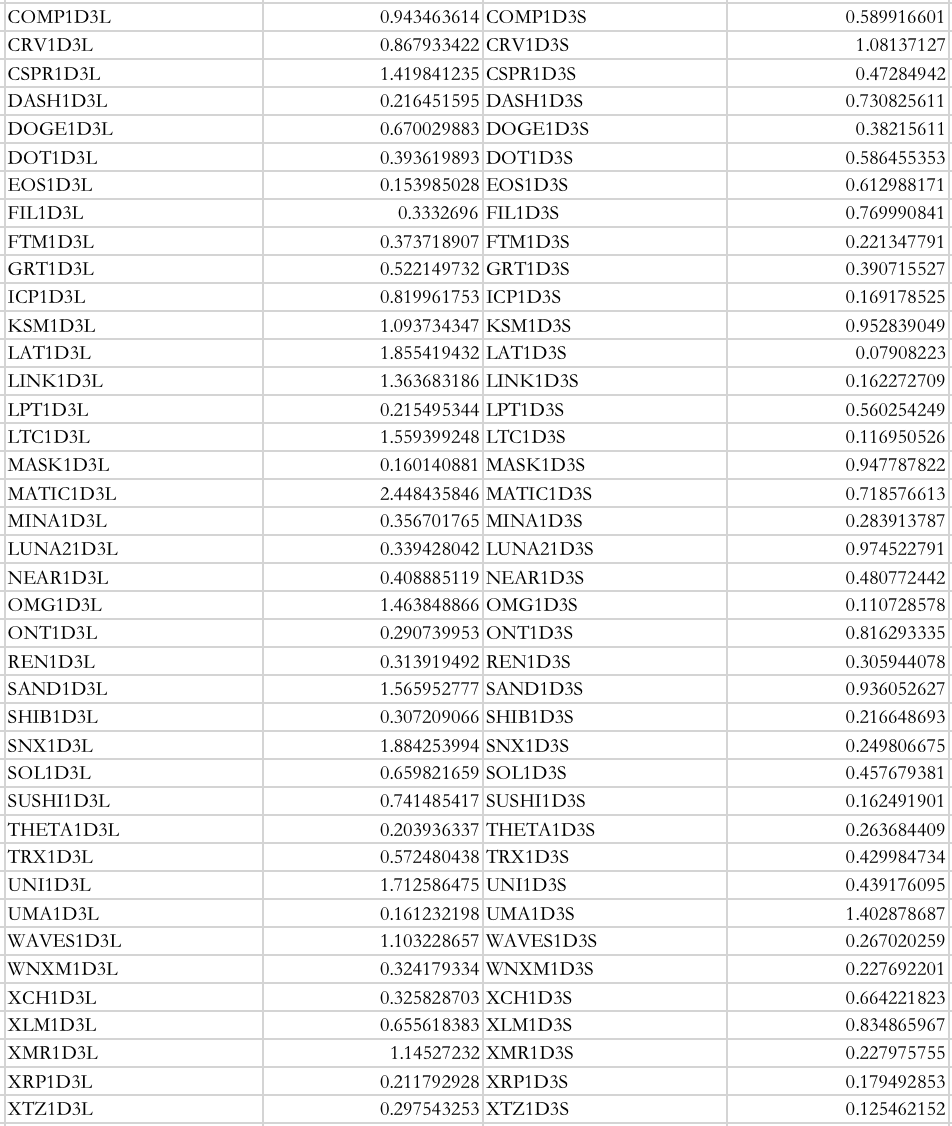
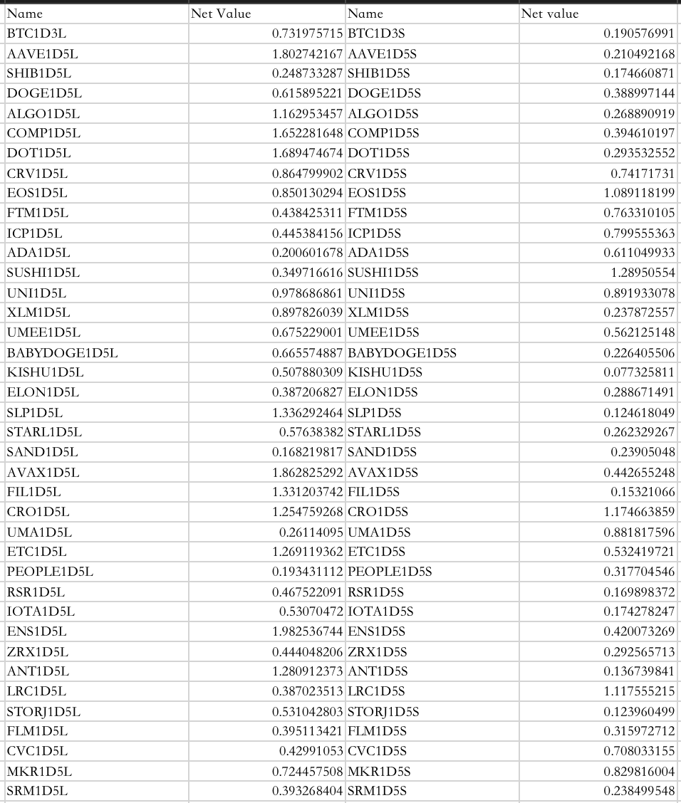
2. Pozisyonların tutulmasından kaynaklanan zararı önlemek için, tüm kullanıcının kaldıraçlı ETF pozisyonları, 10 Ağustos 2022 tarihinde saat 12:00 UTC'ye kadar ilgili net değerlere göre zorla tasfiye edilecektir;
- Hotbit'te bekleyen tüm siparişleri 24 Ağustos 2022 UTC saat 09: 00'da iptal ettik ve kullanıcılar tarafından tutulan ETF varlıklarını tasfiye etmeye başladık. Kullanıcılar tarafından tutulan ETF varlıklarını 10 Ağustos 2022 UTC saat 12: 00'da duyuruda ekli net değer listesine göre düşeceğiz ve ilgili USDT'yi kullanıcıların Hotbit hesaplarına ekleyeceğiz. ETF varlıklarının tasfiyesi birkaç iş günü sürecektir, tamamlandıktan sonra bu duyuruyu güncelleyeceğiz ve topluluktaki kullanıcıları bilgilendireceğiz
3. Kullanıcının yatırım ürünlerinin geliri normal olarak dağıtılacaktır;
4. Kullanıcılar için tazminat planı web sitesi yeniden açıldığında yayınlanacaktır, lütfen sabırla bekleyin.
Endişelenmeyin, varlıklarınız güvende. Herhangi bir sorununuz varsa, lütfen Destek Bileti aracılığıyla bizimle iletişime geçin, MH ekibimiz size yardımcı olmak için ellerinden geleni yapacaktır.
Hotbit Ekibi
10 Ağustos 2022 tarihinde saat 12:00 UTC'de Hotbit'teki ETF ürünlerinin net değerleri:
Yorumlar
0 yorum
Makale yorumlara kapalı.