Уважаемые пользователи Hotbit ,
Как мы все знаем, из-за этого раунда хакерской атаки Hotbit уже приостановил все внешние службы. Согласно плану восстановления и восстановления Hotbit, Hotbit возобновит функции внесения и снятия активов и функцию спотовой торговли в качестве главных приоритетов. После того, как все пойдет гладко, Hotbit восстановит функцию торговли ETF с кредитным плечом. Пожалуйста, обращайтесь к официальным сообществам Hotbit и медиа-каналам для всех последних обновлений и обновлений в режиме реального времени, касающихся прогресса процесса восстановления и восстановления платформы Hotbit.
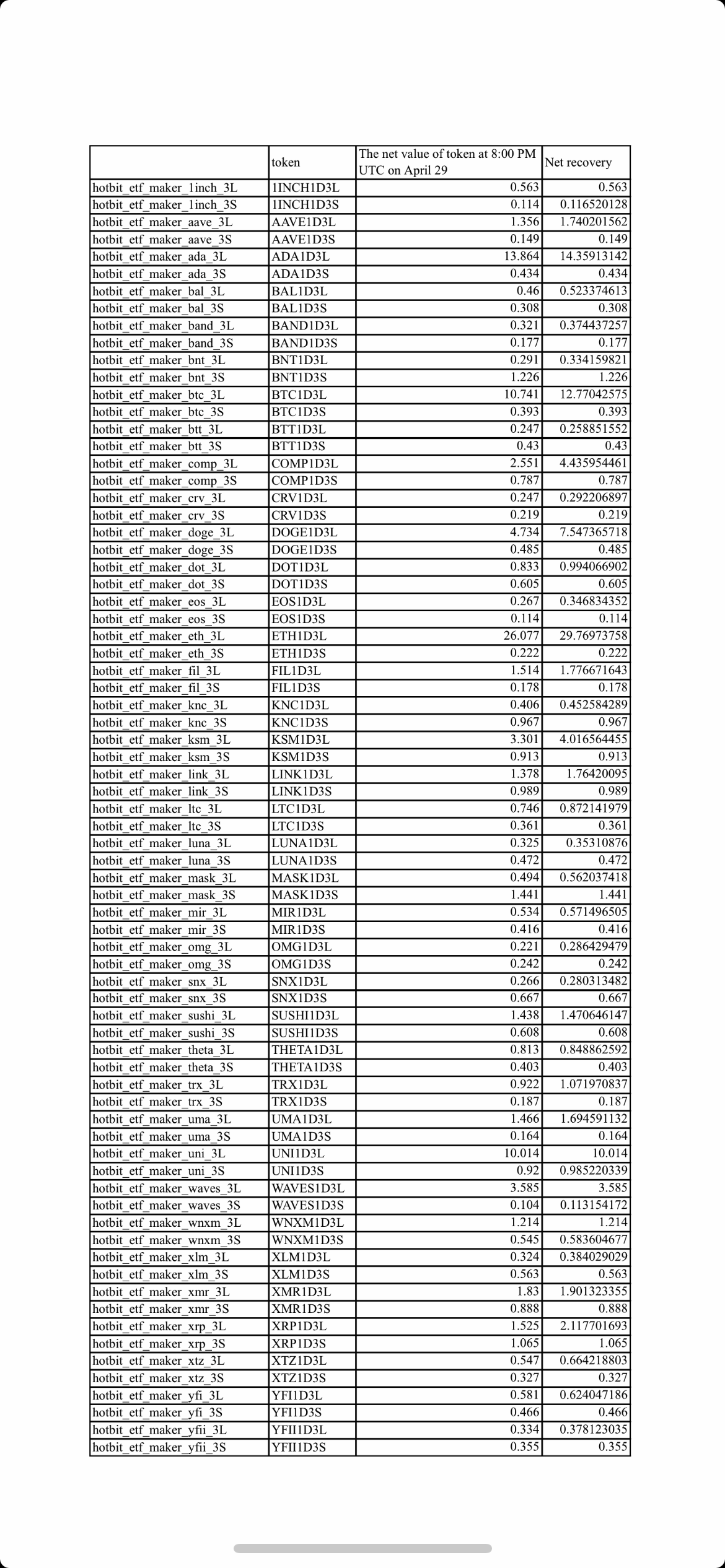
В соответствии с врожденными особенностями торговли ETF с использованием кредитного плеча, пользователи, как правило, проводят и приобретают краткосрочные торговые операции и продукты ETF, а не долгосрочные действия и продукты. Учитывая тот факт, что торговая деятельность ETF была приостановлена на сравнительно длительный период времени, в этот период на рынке уже могли произойти определенные огромные колебания. Между тем, Hotbit также получил множество советов и предложений от своих сообществ по этому поводу. Следовательно, Hotbit решил закрыть все существующие позиции в секции ETF Hotbit с кредитным плечом. Пожалуйста, обратитесь к следующей информации для получения подробного плана:
1. Позиции, занимаемые всеми пользователями в секции ETF Hotbit с кредитным плечом, будут закрыты согласно соответствующей чистой стоимости к 11:30 2 мая 2021 года (МСК).
2.Hotbit рассчитает и проанализирует чистую стоимость позиций каждого пользователя в своем разделе ETF с кредитным плечом до 23:00 29 апреля 2021 года (МСК). Если сравнивать с чистыми значениями своих позиций на 23:00 29 апреля 2021 года (МСК), пользователи получили доход к 11:30 2 мая 2021 года (МСК), то пользователи по-прежнему будут получать эту часть доходов; в случае, если по сравнению с чистыми значениями своих позиций на 23:00 29 апреля 2021 года (МСК), пользователи понесли убытки к 11:30 2 мая 2021 года (МСК), то ответственность за все будет возложена на Hotbit. Соответствующие убытки пользователей, возникшие за этот период.
После восстановления и восстановления своего официального веб-сайта Hotbit как можно скорее рассчитает и распределяет все соответствующие доходы и убытки на все соответствующие счета активов пользователей в соответствии с планом, приведенным выше.

Команда Hotbit
2 мая 2021 г.
Следите за нашей последней информацией по официальным ссылкам в СМИ:
Telegram (Обсудить канал) : https://t.me/Hotbit_English
Telegram (Анонсированный канал) :https://t.me/Hotbit_announcements
Твиттер https://twitter.com/Hotbit_news
Facebook : https://www.facebook.com/hotbitexchange/
Комментарии
0 комментариев
Статья закрыта для комментариев.